Главная / Новости партнеров / Регоператор: 400 контейнерных площадок остались без вывоза из-за неочищенных дорог

Регоператор: 400 контейнерных площадок остались без вывоза из-за неочищенных дорог

18 января 2021 - 12:53
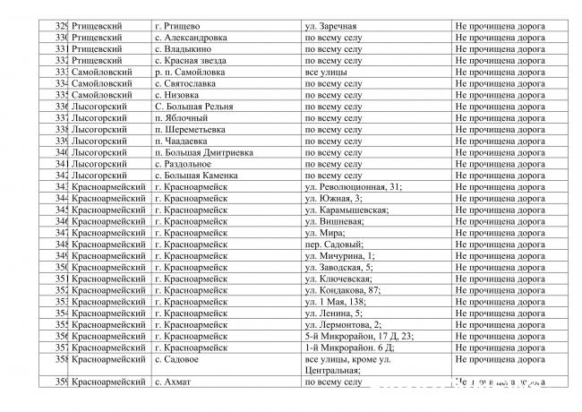
В Саратовской области на сегодняшний день 410 контейнерных площадок остаются заблокированными снегом, это около 3% от их общего количества. В Саратове – более 100 площадок, из них 47 – в Заводском районе. Сложная обстановка в Балашовском и Энгельсском районах – 57 и 53 площадок соответственно, порядка 30 площадок блокировано в Ртищевском и Саратовском районах. Более 10 контейнерных площадок заблокировано более трех суток.
 
Вся информация о данных площадках уже передана в надзорные органы и региональное Министерство природных ресурсов и экологии для реагирования. При поступлении информации из районных администраций и управляющих организаций о разблокировке проезда, адрес сразу передается соответствующей мусоровывозящей компании для вывоза отходов. 
 
«Для обеспечения бесперебойности в оказании услуги по обращению с ТКО на маршрутах работает вся возможная спецтехника подрядчиков. Экипажи работают круглосуточно. Но из-за непрекращающихся несколько дней снегопадов время движения мусоровозов по маршрутам резко увеличилось. Основной проблемой остается невозможность физически выкатить контейнеры с мест накопления из-за снежных буртов, оставленных спецтехникой. Где это возможно, экипажи сами откапывают контейнеры», - рассказал замдиректора Регоператора Алексей Синтин. 
 
С полным перечнем блокированных снегом контейнерных площадок можно ознакомиться на сайте АО «Управление отходами».
 
Специалисты Регионального оператора принимают информацию от жителей области о состоянии контейнерных площадок по телефону: 8 (8452) 25-64-90.
Последние новости
12 мая 2026